
Paytm shares were up a solid 19.79 per cent in January but came crashing 56 per cent in February following the RBI restrictions on its Paytm Payment Bank.
Paytm shares were up a solid 19.79 per cent in January but came crashing 56 per cent in February following the RBI restrictions on its Paytm Payment Bank.A couple of fund houses were seen buying a rallying ONE 97 Communications Ltd (Paytm) shares with both hands in January, ahead of the Reserve Bank of India's curbs on Paytm Payment bank. Mutual funds owned Rs 3,384.08 crore Paytm shares at the end of January and accounted for 7 per cent of Paytm's market capitalisation. They owned Rs 2,003.03 crore worth Paytm shares at the end of December, monthly data compiled by PRIME Database suggested.
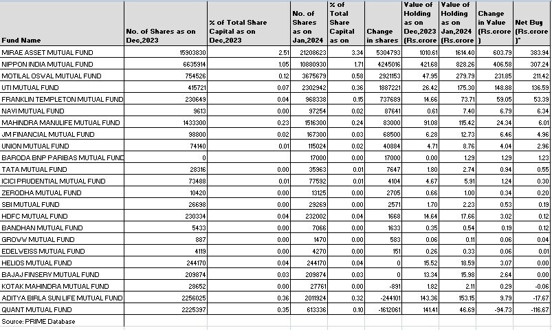
The institutional category bought Rs 936 crore worth Paytm shares in January while their holding value of Paytm got increased by Rs 1,381.06 crore in the same month, PRIME Database suggested. Paytm shares were up a solid 19.79 per cent in January but came crashing 56 per cent in February following the RBI restrictions on its Paytm Payment Bank.
As per PRIME Database's monthly report, Mirae Asset Mutual Fund owned Rs 1,614.40 crore worth Paytm shares as on January 31 against Rs 1,010.61 crore as on December 31, 2023. It increased its exposure to the Paytm stock by 53.04 lakh shares to 2,12,08,623 shares from 1,59,03,830 shares as on December 31. The net buy stood at Rs 383.94 crore. Mirae's holding in Paytm stood at Rs 1614.40 crore at the end of January.
Also read: Paytm shares crash 50% so far this year; here's what analysts say
Nippon India Mutual Fund upped its exposure in Paytm by 42.45 shares. It owned Rs 828.26 crore worth Paytm shares in January against Rs 421.68 crore in December, up 406.58 crore month-on-month. It was a net buyer of Rs 307.24 crore Paytm shares, PRIME Database suggested.
Motilal Oswal Mutual Fund increased its stake in Paytm by 29.21 lakh shares. It owned Rs 279.79 crore worth Paytm shares in January against Rs 47.95 crore in December, up 231.85 crore month-on-month. It was a net buyer of Rs 211.42 crore Paytm shares.
UTI Mutual Fund (net buy: Rs 136 crore) and Franklin Templeton Mutual Fund (net buy: Rs 53 crore) were two other buyers in Paytm in January. UTI owned Rs 175.30 crore worth Paytm shares while Franklin Templeton MF Rs 73.71 crore as on January 31.
Meanwhile, QUANT Mutual Fund was a net seller of Rs 116.67 crore worth Paytm shares in January.

Note: PRIME Database calculated 'net buy' by multiplying the difference in December and January shareholding by the average closing price of Paytm in January.