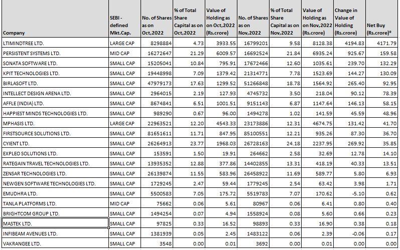
Mutual funds were seen buying into many midcap and smallcap IT names in November, as they trimmed stake in five IT biggies namely TCS, Infosys, HCL Technologies, Wipro and Tech Mahindra, data compiled from PRME Database showed.
Data showed MFs bought 4,19,877 additional shares in IT midcap Persistent Systems. The institutional category held 21.84 per cent stake worth Rs 6,935.24 crore in the IT firm as of November 30 compared with 21.29 per cent stake worth Rs 6,009.57 as of October end.
In the case of Sonata Software, fund managers bought 24,67,425 additional shares in November. MFs held 12.60 per cent stake in this smallcap IT firm as of November 30 against 10.84 per cent at the end of October.
MFs increased exposure in KPIT Technologies by 18,65,773 shares. The institutional category held 7.78 per cent stake worth Rs 1,523.69 crore in the IT firm as of November 30 compared with 7.09 per cent stake worth Rs 1,379.42 as of October end.
In the case of smallcap Birlasoft, fund managers bought 32,87,675 additional shares in November. MFs held 18.78 per cent stake in this smallcap IT firm as of November 30 against 17.63 per cent at the end of October.
Intellect Design Arena, Affle India, Happiest Minds, First Source Solutions and Cyient were some of the IT smallcaps, where MF Increases stakes in November on a monthly basis.
On mutual funds' sell radar were mostly large caps. Mutual funds trimmed their stake in HCL Technologies to 9.23 per cent in November from 9.78 per cent in October. In Infosys, MFs cut stake to 15.34 per cent from 15.40 per cent in October. In TCS, they cut stake to 3.29 per cent from 3.32 per cent month-on-month, Tech Mahindra to 12.35 per cent from 12.52 per cent, and Wipro to 2.72 per cent from 2.79 per cent, respectively.