
GPT 5.4 model is here.
GPT 5.4 model is here.OpenAI has officially launched its new GPT 5.4 model, which combines advanced reasoning, coding capabilities, and improved task performance into a single flagship model. Alongside the standard model, OpenAI is offering GPT-5.4 in two specialised tiers, GPT-5.4 Thinking for reasoning and GPT-5.4 Pro for maximum performance on complex tasks.
As per OpenAI’s blog post, the model incorporates coding capabilities of GPT-5.3-Codex, while also improving how the model works across tools, software, and professional tasks involving spreadsheets, presentations, and documents.
What is new in GPT-5.4
In ChatGPT, the GPT 5.4 Thinking provides users with its thinking process before it completes a response. Hence, they have the ability to course-correct while the model is still working. This enables the model to provide a more accurate and aligned final response.
On the other hand, the API version of the model offers a greater context window of 1 million tokens. OpenAI says the model comes with “computer-use capabilities, enabling agents to operate computers and carry out complex workflows across applications.”
The company also states that compared to GPT-5.2, GPT-5.4 uses fewer tokens to reach the same conclusions, making it the most efficient reasoning model yet in terms of both speed and cost.
OpenAI also claims that GPT-5.4 is the most factual model yet; individual statements are 33% less likely to be false, and full responses carry 18% fewer errors, compared to GPT-5.2.
Impressive benchmarks
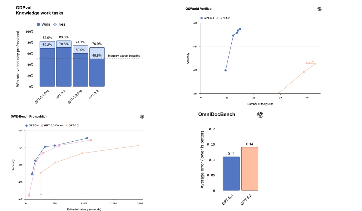
The GPT-5.4 achieved a score of 83% on OpenAI's GDPval test, compared to 70.9% for GPT‑5.2. This test was conducted to test the model's “abilities to produce well-specified knowledge work across 44 occupations.” On an internal benchmark of spreadsheet modelling tasks, the GPT‑5.4 achieved a score of 87.3%, compared to 68.4% for GPT‑5.2.
According to Mercor CEO Brendan Foody, GPT-5.4 "excels at creating long-horizon deliverables such as slide decks, financial models, and legal analysis, delivering top performance while running faster and at a lower cost than competitive frontier models."

The model also excelled in computer use benchmarks, OSWorld-Verified and WebArena Verified, making it one of the most powerful AI models by the company. In terms of coding, the GPT 5.4 is said to offer up to 1.5x faster token velocity. This means, “move through coding tasks, iteration, and debugging while staying in flow.”
Availability and pricing
In ChatGPT, GPT-5.4 Thinking is available for ChatGPT Plus, Team, and Pro users. Whereas, the GPT-5.2 Thinking will be available for another three months for paid users before being retired on June 5, 2026.
The GPT-5.4 Pro is available to Pro and Enterprise users.
In the API, GPT-5.4 is priced at $2.50 per million input tokens and $15 per million output tokens.
Whereas, GPT-5.4 Pro is priced at $30 per million input tokens and $180 per million output tokens.
For Unparalleled coverage of India's Businesses and Economy – Subscribe to Business Today Magazine